GHG Protocol Part 3: Impact – Scientific Consensus on the Benefits of Granular Accounting
In the last two blogs, we highlighted the unique opportunity to embed Granular Carbon Accounting in the update of the GHG Protocol. But what does the science say about its impact on grid decarbonization? This article dives into the evidence. In particular, we focus on modelling from the world’s leading power systems experts (e.g., Princeton, MIT, TU Berlin, and the IEA) that use power system capacity expansion modelling, the best tool we have at our disposal to analyse the long-term impact of various accounting methodologies on the grid. All analysis finds that Granular Accounting, which matches demand with new clean power supply in the same hour, from a deliverable location, is an effective accounting framework.
Hourly Matching is Needed for Accurate, Impactful Accounting
A recent review paper from Denmark Technical University provides the most comprehensive academic analysis of effective Scope 2 carbon accounting to date. The authors review 8 of the leading studies on the question, concluding Granular Accounting is key for credible accounting that drives renewable generation:
“Our results suggest that annual volumetric and emissions matching are not sufficient to achieve additional renewable energy generation and reduce system emissions compared to a baseline without a REC market. On the other hand, we find that hourly matching results in additional renewable energy generation and emissions reductions in all cases.”
Figure 1 – System levels of emissions of “Clean” Hydrogen by Accounting Method (Source: Princeton).
The question of how to qualify clean power consumption for Clean Hydrogen production has seen debate in both the EU and the US (discussed in the next blog) and has also brought us some of the most useful research on the importance of Granular Accounting. Peer-reviewed analysis from Princeton University demonstrates this clearly in the graphic above. Only hourly matching delivers low-emissions clean hydrogen, using methods like Annual Matching or Carbon Matching (i.e. Net-zero Short-run Marginal Emissions) would lead to “Clean” hydrogen that is more emissions intensive than fossil grey hydrogen. Accounting matters! Analysis from TU Berlin, MIT, and EPRI draws the exact same conclusion, only hourly matching of new clean supply delivers clean hydrogen.

Figure 2 – Hourly matching drives system decarbonization (Source: Princeton).
Recent modelling from Princeton (Figure 2) on System-level Impacts of Voluntary Carbon-free Electricity Procurement Strategies in the United States re-confirms the effectiveness of hourly matching compared to other strategies, which don’t deliver system emissions reductions in the US cases modelled. The basic mechanism for this failure to drive impact is the “looseness” of these frameworks, if an organization can buy a clean energy credit from any time of year, it will tend to buy the cheapest and least impactful one to try “offset” the hours when decarbonization is hard. But hourly matching requires decarbonization hour by hour, driving investments in the hard hours of decarbonization also.
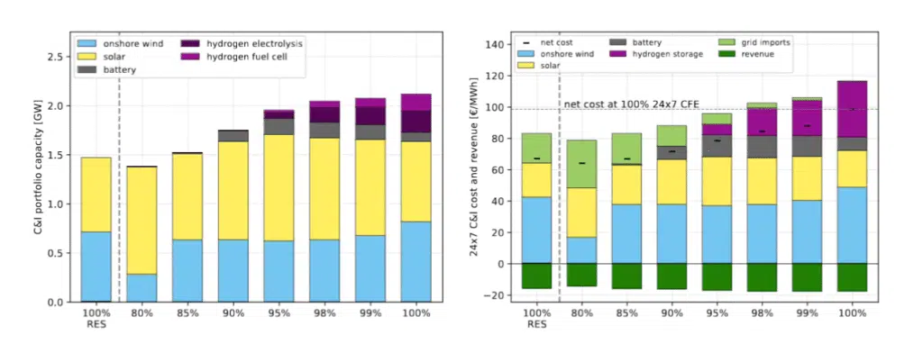
Granular Matching Incentivizes Storage

Figure 3 – High levels of temporal matching need storage and LDES (Source: TU Berlin).
Modelling from TU Berlin shows that high levels of hourly matching create clear incentives for storage technologies, both for batteries and hydrogen. These incentives are not clear with other approaches like annual matching, which allow clean energy from times of abundance to be used to claim clean consumption during times of shortage.
Hourly Matching Drives Demand Flexibility

Figure 4 – More flexible demand reduces the cost of 24/7 CFE goals (Source: TU Berlin).
Another study from TU Berlin finds that 24/7 hourly matching strategies create a strong cost incentive to have flexibility in demand, as the cost of doing 100% hourly matching decreases significantly with demand response.
Hourly Matching Provides More System Value

Figure 5 – Hourly matching brings much more value to the system (Source: IEA).
The International Energy Agency has also done modelling of hourly matching for India and Indonesia, finding that “the system value of annual matching portfolios is substantially below the cost to serve the corporate load with standard grid supply. In contrast, hourly matching portfolios bring a much higher value, which may even exceed the costs for serving the corporate load.” This is crucial for regulated markets, which dominate in the global south, to ensure that the public does not have to cover the system costs not covered by annual matching.
Hourly Matching Brings Price Hedging Benefits

Figure 6 – Hedging Benefits of Hourly Matching in Germany (Source: Eurelectric/Pexapark).
So, hourly matching is good for grid decarbonization. But it has another critical benefit, price hedging. Eurelectric, the EU electricity sector association, worked with leading analysts Pexapark to publish a study that shows the hedging benefits of PPAs with high levels of hourly matching. The example above for Germany shows very significant hedging benefits (e.g. over € 12 million in 2022 for 90% hourly matching case) for a 10 MW baseload consumer. This makes sense, more hourly matching means more price certainty from the PPA, and less exposure to the volatile electricity markets from which electricity would have to be purchased with lower levels of hourly matching. Granular accounting rewards grid decarbonization and good hedging. A great combination.
An Abundance of Evidence for Granular Accounting
There are many more studies on this topic, and more emerge all the time! EnergyTag maintains a public Granular Accounting in Action spreadsheet that you can bookmark to stay up to date with key research (and much more).

Source: Granular – 24/7 in Action Tracker – EnergyTag.
We hope you enjoyed this summary of the evidence. In the next blog, on Friday, we will look at how regulators are moving to Granular Accounting, to make sure Clean means Clean!
